有关公积金借款人:
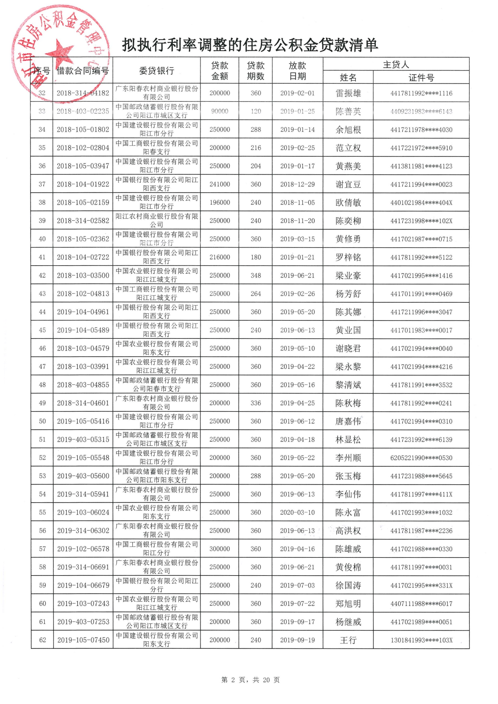
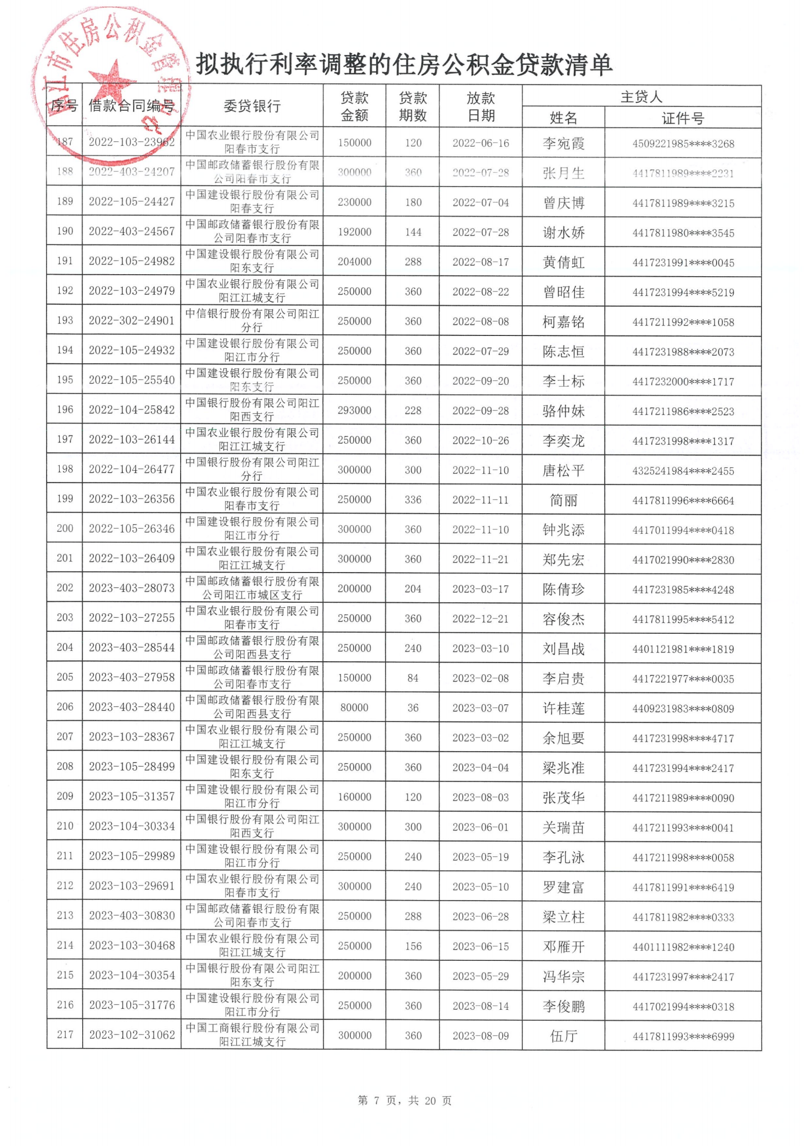
根据《住房公积金个人住房借款及担保合同》第四条第三款的约定及市住房公积金管理委员会第二十八次会议决议:“公积金贷款发放后,缴存公积金的借款人因个人原因连续停缴住房公积金超过 1 年(12 个月)以上的,从次年 7 月起在同期同档住房公积金贷款年利率的基础上增加 0.1%,直至恢复正常缴存”,经核实,我中心拟对 2018 年 6 月 1 日之后签订借款合同、缴存公积金的借款人在贷款发放后连续停缴超过 12 个月(含)且没有在省内外其他城市继续缴存住房公积金的,从 2025 年 8 月起按《住房公积金个人住房借款及担保合同》第四条第三款的约定执行调整贷款利率,现将涉及的住房公积金贷款清单进行公示,公示期为 2025 年 7 月 11 日至 2025 年 7 月 18 日。
公示期间,如有异议请于 2025 年 7 月 18 日前向我中心反映(联系电话:0662-3329303)。
附:《拟执行调整贷款利率的住房公积金贷款清单》
阳江市住房公积金管理中心
2025 年 7 月 1 日



















